안녕하세요. 이전 포스팅에서 골밀도 검사에 대해서 알아보았는데요. 오늘은 골밀도가 낮아 걱정이신 분들을 위한 '골다공증 주사 치료'에 대한 내용을 포스팅하려고 해요. 골다공증 질환에 걱정이 있으신 분, 주사 치료를 앞두신 분들을 위한 보험적용 가격, 그 이외의 치료들에 대해서 꼼꼼하게 비교하며 알려드려 볼게요!

골다공증 주사, 성분별 종류 및 비용
골다공증 주사는 크게 2가지 성분으로 나뉩니다. 각 성분별로 어떤 주사들이 있는지, 그리고 가격은 어떻게 되는지 자세히 알아볼까요?

비스포스포네이트 계열

작용 기전
뼈를 파괴하는 파골세포의 활동을 억제하여 골밀도 감소를 막고, 골절 위험을 낮춥니다.
종류 및 투여 방법
- 알렌드로네이트: 경구 복용 (주 1회), 정맥 주사(3개월 또는 1년에 한 번)
- 리세드로네이트: 경구 복용 (주 1회), 정맥 주사 (3개월에 한 번)
- 졸레드론산: 정맥 주사 (1년에 한 번)
- 이반드로네이트: 정맥 주사 (3개월에 한 번)
가격
1회 접종 시 약 3만 원 - 10만 원 (건강보험 적용 시 본인 부담금 30%: 1만원 ~ 3만원)
=> 약품 종류, 투여 방법, 병/의원의 규모에 따라 비용 차이가 발생할 수 있습니다.
데노수맙 계열

작용 기전
프롤리아는 'RANK'이라는 단백질을 표적으로 하는 'RANK 억제제'입니다. RANK은 파골세포의 생성, 활성화, 생존에 필수적인 신호 물질입니다. 프롤리아는 RANK에 결합하여 파골세포의 활동을 억제함으로써 뼈 흡수를 막고, 골밀도를 증가시키는 효과를 나타냅니다.
종류 및 투여 방법
- 프롤리아: 피하 주사(6개월에 한 번)
피하투여 - 위키백과, 우리 모두의 백과사전
위키백과, 우리 모두의 백과사전. 피하주사의 3D 애니메이션 피하투여(subcutaneous administration, 皮下投與) 또는 피부밑투여는 주사나 주입을 통해 피부 아래쪽에 직접 약물을 투여하는 방법이다. 피
ko.wikipedia.org
*해외에서는 '졸레드론산'과 데노수맙을 혼합한 복합제인 이베티니(Evenity)라는 주사제가 개발되어 일부 국가에서 사용되고 있습니다. 이베니티는 골 형성 촉진 효과와 골 흡수 억제 효과를 동시에 가지고 있어 골밀도를 더욱 빠르게 증가시킬 수 있다는 장점이 있습니다.
하지만 아직 국내에서는 허가되지 않았으며, 장기적인 안정성과 효과에 대한 추가 연구가 필요한 상황이라고 하네요.
비용
1회 접종 시 약 60 - 70만 원 (건강보험적용 시 본인부담금 30% 정도: 18만원~20만원)
-> 병/의원의 규모에 따라 비용 차이가 발생할 수 있습니다.
골다공증 주사는 프롤리아? 비교분석, 선택 시 고려사항
우선, 표로 한눈에 알아보기
| 특징 | 프롤리아 | 비스포스포네이트 |
| 작용 기전 | 뼈 흡수 억제 & 생성 촉진 (RANK 억제) |
뼈 흡수 억제 (파골세포 활동 억제) |
| 골밀도 증가 효과 | 빠르고 강력한 골밀도 증가 효과 | 점진적인 증가 |
| 골절 예방 효과 | 척추, 대퇴골 비척추 및 고관절 골절 예방 |
척추, 대퇴골, 비척추 골절 예방 |
| 투여 횟수/ 방법 | - 6개월에 한 번 - 피하 주사 |
- 경구 : 매일 / 주 1회 / 월 1회 - 정맥주사 :3개월/ 6개월/1년에 한 번 |
| 투여 기간 | 최대 10년 | 3~5년 |
| 가격 (1회) | 약 60~70만원 (건강보험 적용 시 본인부담금 30%) |
- 경구: 약 1~ 3만원 - 주사: 약 3~10만원 (건강보험 적용 시 본인부담금 30%) |
| 장점 | - 빠르고 강력한 골밀도 개선 효과 - 적은 투여 횟수 - 장기 치료 가능 |
-안정성 입증(장기간 사용되었기 때문) - 경구 복용 가능 - 비교적 저렴한 가격 |
| 단점 | - 비싼 가격 - 치료 중단 후 반동성 골절 위험 - 턱뼈 괴사, 비정형 대퇴골 골절 등 부작용 |
- 복용 시 자세 및 식사 주의 필요 - 위장 장애 등 부작용 |
| 권장 환자군 | - 중증 골다공증 환자 - 빠른 골밀도 개선 효과가 필요한 환자 - 잦은 투약이 어려운 환자 |
- 경증~중증도 골다공증 환자 - 약 복용 순응도가 좋은 환자 - 비용 부담이 적은 치료를 원하는 환자 |
표를 통해 알 수 있는 프롤리아의 강점

- 빠르고 강력한 골밀도 증가 효과: 비스포스포네이트에 비해 골밀도를 더욱 빠르고 강력하게 증가시켜, 골절 위험을 효과적으로 감소시킵니다.
- 적은 투여 횟수: 6개월에 한 번 투여하므로 치료관리가 용이합니다.
- 긴 치료 기간: 최대 10년까지 투여 가능하여 장기적인 골다공증 관리에 효과적입니다.
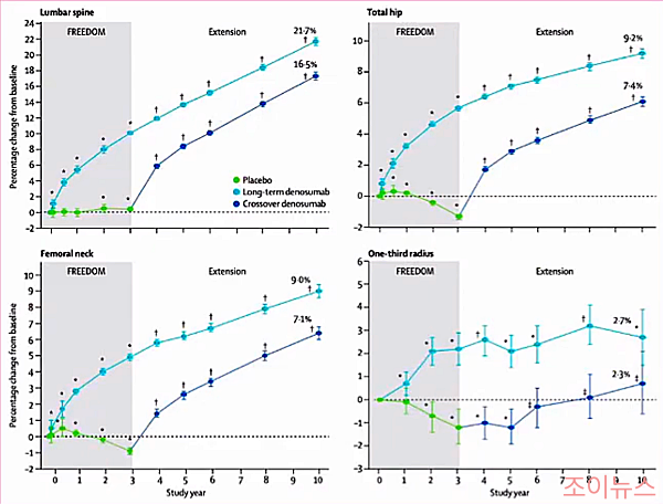
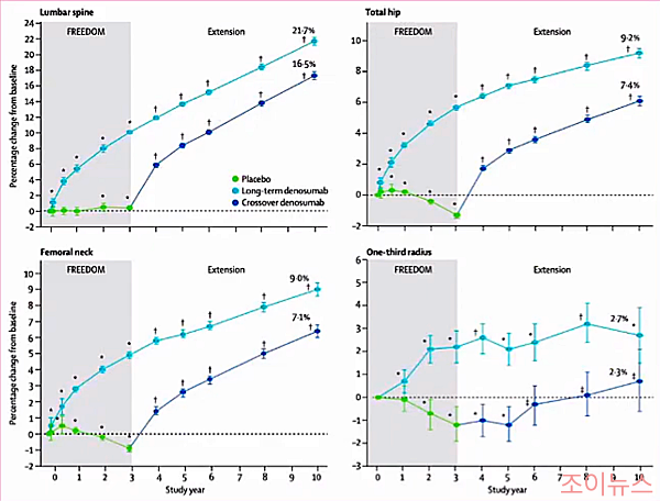
10년 장기 데이터로 입증된 프롤리아의 효과

FREEDOM & FREEDOM EXTENSION 연구: 폐경 후 골다공증 여성을 대상으로 10년간 진행된 대규모 임상 연구 결과로 프롤리아의 효과에 대해서 살펴보시죠.
- 골밀도 증가: 프롤리아 투여 10년 후 척추 골밀도는 21.7%, 대퇴골 골밀도는 9.2%까지 지속적으로 증가했습니다.
- 골절 위험 감소: 새로운 척추 골절 발생 위험은 최대 70%까지 감소했습니다.
<참고자료>
프롤리아 최대 2년 골다공증 급여처방, 10년 장기 효과·안전성 입증 혜택 볼까 - 팜뉴스
\'보이지 않는 암\'으로 불리는 골다공증은 치료제를 지속적으로 사용해야 사망으로 이어질 수 있는 골절을 예방할 수 있다. 그러나 국내 급여 기준에 따라 골다공증 수치가 호전되면 효과가 있
www.pharmnews.com
MEDI:GATE NEWS [카드뉴스] 편의성·10년 데이터 무장 프롤리아, 장기지속 가능한 골다공증 치료 시대
10년간의 임상에서 지속적으로 입증된 유효성과 안전성, 그리고 6개월 1회 투여라는 혁신적 제형을 무기로 내세운 RANKL 표적 골다공증 치료제 프롤리아(성분명 데노수맙)가 골다공증 장기지속치
medigatenews.com
건강보험 적용 대상, 적용 기간
위에서 알아본 2가지 종류의 주사치료 모두 만만한 가격은 아니죠. 그럼 건강보험을 적용받아 일명 '급여 진료'를 통해 본인부담금을 줄여야 하는데요. 어떤 기준으로 건강보험 적용 대상이 되는지, 횟수와 기간은 어떤지 알아보시죠.
건강보험 적용 대상
골밀도 검사 결과, T-score 가 -2.5 이하인 경우
골밀도 검사를 미리 받고, 주사 혹은 약물치료가 들어가는데요. 골밀도 검사 결괏값이 -2.5 이하, 즉 '골다공증'으로 진단을 받은 경우에 건강보험적용이 가능합니다.
골다공증성 골절이 발생한 경우
척추, 대퇴골, 손목 등의 골절이 발생한 경우에 진료를 통한 주사로 인정되기 때문에 건강보험 적용이 가능합니다.
골다공증을 유발할 수 있는 질환이나 약물 복용 중인 경우
류마티스 관절염, 갑상선 기능 항진증, 스테로이드 장기 복용 등이 이에 해당합니다.
건강보험 적용 횟수 및 기간
골다공증성 골절이 없는 경우
1년 이내 투여
추적검사에서 T-score가 -2.5 이하인 경우
->> 추가 2년(총 3년)까지 연장 가능
골다공증성 골절이 있는 경우
3년 이내 투여
추적검사에서 T-score가 -2.5 이하이거나, 골다공증성 골절이 재발한 경우
->> 추가 2년(총 5년)까지 연장 가능
<참고자료>
골다공증 치료제 적응증 급여기간 1→3년 확대 - 의학신문
[의학신문·일간보사=이승덕 기자]골다공증 치료제의 급여기간 3년까지 늘어나고, 임산부, 암 환자 등에 사용하는 고함량 철분주사제의 급여가 신설된다.보건복지부는 오는 5월 1일 부터 노년기
www.bosa.co.kr
Q & A(놓치면 안 되는 3가지 추가질문)
골다공증 주사, 중간에 그만둬도 괜찮을까요?
비스포스포네이트
일반적으로 3~5년 동안 투여합니다. 하지만, 중간에 임의로 중단하면 골밀도가 다시 감소하고 골절 위험이 높아질 수 있습니다. 따라서 의사와 상의 없이 치료를 임의로 중단하면 안 됩니다.
프롤리아
최대 10년까지 투여 가능하지만, 데노수맙 치료 중단 후에는 반드시 비스포스포네이트 등 다른 골다공증 치료제로 전환해야 합니다. 그렇지 않으면 급격한 골밀도 감소와 함께 '반동성 골절'위험이 높아질 수 있습니다.
특히, 데노수맙은 장기 투여 시 턱뼈 괴사, 비정형 대퇴골 골절 등의 심각한 부작용 발생 가능성이 높아질 수 있으므로 정기적인 검사와 함께 의사의 면밀한 관찰이 필요합니다.
골다공증 주사 맞기 전후 유의사항은 뭔가요?

비스포스포네이트(경구 복용)
복용 후 30분~1시간 동안 눕지 않고 똑바로 앉거나 서 있어야 합니다. 위장 장애를 예방하기 위해 식사 30분 전, 공복 상태에서 충분한 물과 함께 복용해야 합니다.
프롤리아 & 비스포스포네이트 (주사)
주사 후 며칠 동안은 칼슘 수치가 떨어질 수 있으므로, 칼슘과 비타민 D를 충분히 섭취해야 합니다. 또한, 턱뼈 괴사, 비정형 대퇴골 골절 등의 드문 부작용 발생 가능성을 염두에 두고, 치과 치료나 수술 전에는 반드시 의료진에게 골다공증 주사 치료 사실을 고지해야 합니다.
특히, 데노수맙은 저칼슘혈증 발생 위험이 높으므로 정기적인 혈액 검사를 통해 칼슘 수치를 확인해야 합니다.
골다공증 주사 효과는 언제부터 나타나나요?
비스포스포네이트
3~6개월 후부터 골밀도 증가 효과가 나타나기 시작합니다. 또한, 1년 이상 꾸준히 치료해야 최대 효과를 얻을 수 있다고 알려져 있습니다.
프롤리아
6개월 후부터 골밀도 증가 효과가 나타나기 시작하며, 비스포스포네이트보다 빠르고 강력한 효과를 보입니다.
마무리
어떠셨나요? 오늘 알아본 골다공증 주사에 대한 내용이 여러분에게 도움이 되셨나요? 물론, 골다공증 주사는 의사와 상담 후 결정되는 사항입니다. 하지만, 내가 어떤 주사를 맞는지 이해하고 있으면 미리 준비할 사항들을 체크할 수 있습니다. 또한, 치료 효과를 기대하며 뼈 건강에 도움이 되는 생활 습관도 개선하게 되지 않을까라는 것이 저의 의견입니다.
칼슘, 비타민D, 규칙적인 운동, 금연, 절주 등의 예방 및 관리 차원의 생활 습관을 유지하시어 보다 나은 삶을 누리시기 바랍니다. 오늘도 긴 글 읽어주셔 감사합니다. 건강한 하루 보내세요!!
<함께 읽으면 좋은 관련 글들>
2024.09.09 - [건강(의학정보 및 생활건강)] - 골밀도 검사, 정상수치, 주기, 검사비용과 방법
골밀도 검사, 정상수치, 주기, 검사비용과 방법
안녕하세요, 여러분! 오늘은 우리 몸의 기둥, 뼈 건강을 지키는 첫걸음인 '골밀도 검사'에 대한 내용을 포스팅하려고 합니다. 골밀도는 뼈의 강도를 나타내는 중요한 지표입니다. 골밀도가 낮으
news.joyjoyhealth.com
2024.09.10 - [건강(의학정보 및 생활건강)] - 골다공증에 좋은 핵심음식 5가지와 권장 섭취량, 비타민D까지 살펴보아요.
골다공증에 좋은 핵심음식 5가지와 권장 섭취량, 비타민D까지 살펴보아요.
나이가 들수록 뼈는 점점 약해지고, 골다공증의 위험은 높아집니다. 특히 폐경기 여성, 노년층, 칼슘 섭취가 부족한 사람들은 골다공증 위험군에 속합니다. 하지만 걱정하지 마세요. 꾸준한 관
news.joyjoyhealth.com
<참고자료>
https://www.youtube.com/watch?v=psPkX0LmJ_shttps://www.youtube.com/watch?v=psPkX0LmJ_s
https://www.youtube.com/watch?v=WPIolCZ_VIo" target="_blank" rel="noopener" data-mce-href="http:// https://www.youtube.com/watch?v=WPIolCZ_VIo"> http:// https://www.youtube.com/watch?v=WPIolCZ_VIo
https://www.nhis.or.kr/static/alim/paper/oldpaper/202202/sub/07.html
평생건강 지킴이 건강보험 웹진
202202 vol.280 National Health Insurance Service
www.nhis.or.kr
'건강(의학정보 및 생활건강)' 카테고리의 다른 글
| 위암 초기 발견을 위한 위내시경 진단과 치료 (4) | 2024.09.12 |
|---|---|
| 장상피화생이 암으로 가는 진행단계, 위암 촉진하는 위험인자 5가지 예방하기 (17) | 2024.09.11 |
| 골다공증에 좋은 핵심음식 5가지와 권장 섭취량, 비타민D까지 살펴보아요. (4) | 2024.09.10 |
| 골밀도 검사, 정상수치, 주기, 검사비용과 방법 (18) | 2024.09.09 |
| 헬리코박터균, 원인, 증상, 검사(CLO, UBT), 제균치료 (20) | 2024.09.07 |